文章內容
壓力微感測器(Pressure micro sensor)
❒ 壓力計與高度計
壓力微感測器是用來偵測外界壓力的大小,也可以用來偵測氣壓的大小,不但體積微小而且精確度極高,傳統的氣壓感測器最常使用的是「水銀壓力計」,一大氣壓相當於76cm(公分)高度的水銀柱,這種氣壓計不但體積龐大而且精確度不高。大家還記得平地的大氣壓力與高山上的大氣壓力有什麼不同嗎?站在平地上的人所承受的大氣層厚度較厚,所以氣壓較大;站在高山上的人所承受的大氣層厚度較薄,所以氣壓較小,換句話說,我們可以利用「氣壓的大小」來推測「高度」,這就是高度計的原理,我們可以將壓力微感測器製作在矽晶片上,更可以進一步與電子錶的數位積體電路整合在同一個印刷電路板(PCB)上,市售的C廠牌電子錶就是利用這種壓力微感測器來量測高度。知識力www.ansforce.com。
❒ 壓電效應(Piezoelectric effect)
第2章曾經介紹過壓電效應可以將電能與機械能互相轉換,也就是改變材料長度(機械能)會改變電壓(電能),大家現在可以想像為什麼這個效應要稱為「壓電」效應了吧!當你對壓電材料施加「壓」力時,材料的長度會縮小,這個時候便會產生「電」壓變化,如<圖一(a)>所示,由圖中可以看出:
➤當我們將壓電材料伸長時:伸得愈長電壓的值愈大,如<圖一(b)>所示。
➤當我們將壓電材料縮短時:縮得愈短電壓的值愈小,如<圖一(c)>所示。

圖一 壓電效應的原理。
❒ 壓電壓力微感測器
使用壓電效應來製作的壓力微感測器構造與外觀如<圖二(a)與(b)>所示,圖中的厚膜是由壓電材料製作而成,壓電材料的電壓大小可以由電壓計測量出來,外界壓力則由感測器上方向下施力,如圖中箭頭所示方向。當外界壓力變大時,由感測器上方向下的施力變大,厚膜受力使長度變長,造成壓電材料兩端的電壓值變大,如<圖二(c)>所示;而當外界壓力更大時,由感測器上方向下的施力更大,厚膜受力使長度更長,造成壓電材料兩端的電壓值更大,如圖<圖二(d)>所示,因此我們可以利用「電壓大小」來反向推測「氣壓大小」與「高度」。知識力www.ansforce.com。

圖二 壓電壓力微感測器的構造與原理。
❒ 電容效應(Capacitance effect)
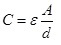
電容效應是指電容的「電容值」會隨著電極之間的距離不同而改變,前面曾經介紹過電容是電的被動元件,它的功能是用來「暫時」儲存電荷(電子與電洞)的元件,中央使用一層絕緣材料(通常使用金屬氧化物)夾在兩層金屬電極之間製作成電容元件,如<圖三(a)>所示,我們定義一個「電容值」來代表電容儲存電荷的能力大小,其單位為「法拉第(Faraday)」,經由科學家實驗發現,電容值大小與兩個金屬電極之間會滿足下列公式:
其中C為電容值、ε為介電係數、A為電容的面積、d為兩個金屬電極之間的距離,由公式可以看出:
➤當金屬電極之間的距離愈大(d愈大),電容值愈小(C愈小),如<圖三(b)>。
➤當金屬電極之間的距離愈小(d愈小),電容值愈大(C愈大),如<圖三(c)>。

圖三 電容效應的原理。
❒ 電容壓力微感測器
使用電容效應來製作的壓力微感測器構造與外觀如<圖四(a)與(b)>所示,感測電容的金屬電極A與B之間是空氣,空氣本身就是一種很好的絕緣體,因此「金屬電極A-空氣-金屬電極B」構成了一個電容,圖中的厚膜是由多晶矽製作而成的結構,可以承受很大的壓力,外界壓力則由感測器下方向上施力。當外界壓力變小時,由感測器下方向上的施力變小,厚膜受力而向下彎曲,造成金屬電極A與B之間的距離變大(d愈大),電容值變小(C愈小),如<圖四(c)>所示;當外界壓力變大時,由感測器下方向上的施力變大,厚膜受力而向上彎曲,造成金屬電極A與B之間的距離變小(d愈小),電容值變大(C愈大),如<圖四(d)>所示,因此我們可以利用「電容值大小」來反向推測「壓力大小」與「高度」。
值得注意的是,不論使用「壓電效應」或「電容效應」都可以製作壓力微感測器,只是利用的原理不同而已,在實際的應用上,可能因為不同的原理可以量測的壓力範圍不同,而應用在不同的商品上。

圖四 電容壓力微感測器的構造與原理。
資料來源:www.st.com。
【請注意】上述內容經過適當簡化以適合大眾閱讀,與產業現狀可能會有差異,若您是這個領域的專家想要提供意見,請自行聯絡作者;若有產業與技術問題請參與社群討論。
【延伸閱讀】其他詳細內容請參考「積體電路與微機電產業,全華圖書公司」。<我要買書>
